1. 理解标识符、数据类型、常量、变量、函数和表达式的基本概念。
2. 掌握局部变量的声明方法,理解Dim和Static的区别。
3. 掌握书写VB表达式的方法,能够书写正确的VB表达式。
4. 能够利用表达式进行简单的计算,编写简单的VB程序。
一、理解Dim和Static的区别
在VB集成开发环境中新建一个工程,并在该工程的代码窗口,加入如下代码。
PrivateSub Form_Click()
Dimx As Integer
Static y As Integer
x = x + 1
y = y + 1
Print x, y
EndSub
运行程序,在该应用程序的窗体上连续单击鼠标,观察程序的运行结果,然后回答以下两个问题:
(1)程序中的Print方法隶属于哪个对象?其功能是什么?
(2)在声明变量时,Dim关键字和Static关键字有何不同之处?
二、设计简单的VB程序计算表达式的值
自己设计一个简单的VB程序,计算下列VB表达式的值。提示:为简单起见,可使用Form_Click事件,并用定义相应类型的变量保存每个表达式的值,最后再用Print方法输出每个变量的值。
(1)2+8/2
(2)8MOD 5
(3)43>=98AND 3^3<=4*6 OR NOT "A"+"B"="ab"
(4)-2^2+(-2)^2<>-3*3+(-3)^2
(5)NOT10\3<10/3 OR 10 MOD 3=10-3*3
运行你自己的程序,并回答以下问题。
表示式(1)是一个 类型的表达式,其计算结果为 。
表示式(2)是一个 类型的表达式,其计算结果为 。
表示式(3)是一个 类型的表达式,其计算结果为 。
表示式(4)是一个 类型的表达式,其计算结果为 。
表示式(5)是一个 类型的表达式,其计算结果为 。
三、设计简单的VB程序计算函数的值
自己设计一个简单的VB程序,计算下列VB函数的值。提示:为简单起见,可使用Form_Click事件,并用定义相应类型的变量保存每个函数的值,最后再用Print方法输出每个变量的值。
(1)Int(-3.14159)
(2)Sqr(Sqr(64))
(3)CInt(15/4)
(4)Str(-459.65)
(5)Int(Abs(99-100)/2)
(6)Val("16Year")
(7)Len("VB5.0")
(8)Mid("Window_VB",3,4)
运行你自己的程序,并回答以下问题。
表示式(1)的计算结果为 ,函数Int()的功能是 。
表示式(2)的计算结果为 ,函数Sqr的功能是 。
表示式(3)的计算结果为 ,函数CInt()的功能是 。
表示式(4)的计算结果为 ,函数Str()的功能是 。
表示式(5)的计算结果为 ,函数Abs()的功能是 。
表示式(6)的计算结果为 ,函数Val()的功能是 。
表示式(7)的计算结果为 ,函数Len()的功能是 。
表示式(8)的计算结果为 ,函数Mid()的功能是 。
四、设计简单的VB程序计算数学表达式的值
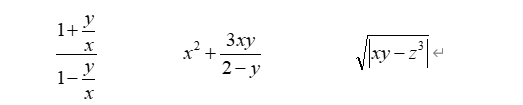
将如下3个数学表达式改写成符合VB语法规则的VB表达式,并计算出它们的结果,设x=1,y=5,z=9。
为简单起见,可使用Form_Click事件,并用定义相应类型的变量保存每个表达式的值,最后再用Print方法输出每个变量的值。
运行你自己的程序,并回答以下问题。
(1)第一个表示式的计算结果为 。
(2)第二个表示式的计算结果为 。
(3)第三个表示式的计算结果为 。
(4)程序中你定义了几个变量?这些变量都是什么类型?分别用什么关键字进行声明?