友情提示:同学您好,此页面仅供预览,在此页面学习不会被统计哦! 请进入学习空间后选择课程学习。

1.1程序设计概述

u为什么要进行程序设计?

  计算机是由程序控制自动执行的机器

v程序、指令和软件的关系

w什么是程序设计语言?

x程序设计语言的种类及其发展

   机器语言→汇编语言→高级语言(面向过程)→高级语言(可视化、面向对象)

  以计算9+8为例

 机器语言                   汇编语言           高级语言

 1.10110000  00001001       MOV AL,9             SUM=9+8

 2. 00000100 00001000       ADD AL,8              END

 3. 11110100                         HLT

y程序=算法(Algorithm)+ 语法(Syntax)

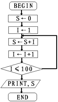
      算法举例:S=1+2+3++100

Private Sub Form_Click()

    S = 0

    I = 1

    Do While I <= 100

       S = S + I

       I = I + 1

    Loop

    Print S

End Sub