友情提示:同学您好,此页面仅供预览,在此页面学习不会被统计哦! 请进入学习空间后选择课程学习。

程序设计中的3种基本结构

现已证明,无论是多么复杂的程序,都可以由3种基本结构通过不同的组合加以实现,这3种基本结构是:

  1.    顺序结构

  2.    分支结构(选择结构)

  3.    循环结构(重复结构)

     一、顺序结构

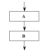
      顺序结构如下图所示,表示执行完A模块后,顺序执行后面的B模块。顺序结构是程序设计中最基本的结构,在没有包含分支结构和循环结构时,程序语句从上到下依次执行。

二、分支结构

      分支结构也叫选择结构,如下图所示,程序语句在执行时,首先对情况(用关系表达式或逻辑表达式表示)进行判断,若表达式的值为True,则执行A模块,否则执行B模块。


三、循环结构

     循环结构也叫重复结构,程序语句在执行时,将根据情况的需要,反复执行A模块,并在适当的时候结束循环。其中A模块被称为循环体。VB中可使用两种形式的循环:当型循环(左图)和直到型循环(右图)。