友情提示:同学您好,此页面仅供预览,在此页面学习不会被统计哦! 请进入学习空间后选择课程学习。

使用表达式可以计算某些数学式子的值,如下例题说明了表达式的一种应用方法。      

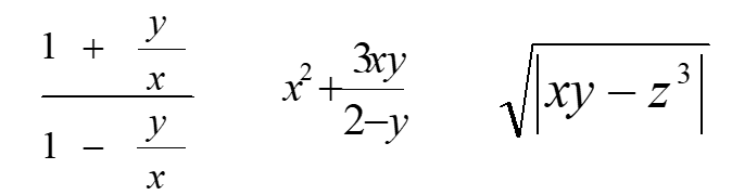
例题2: 将如下3个数学表达式改写成符合VB语法规则的VB表达式,并计算出它们的结果,设x=1,y=5,z=9

Private Sub Form_Click()

    Dim x As Integer, y As Integer, z AsInteger

    Dim s1 As Single, s2 As Single, s3 AsSingle

    x = 1

    y = 5

    z = 9

    s1 = (1 + y / x) / (1 - y / x)

    s2 = x ^ 2 + 3 * x * y / (2 - y)

    s3 = Sqr(Abs(x* y - z ^ 3))

    Print s1, s2, s3

End Sub