(四)狭义相对论力学
(1) 相对论质量

讨论:Σ系中质量为m0的A球以V沿x方向运动,相对Σ系以V运动的Σ’系上有同样的球B以相对Σ’系ux’= -V运动,两球相碰发生完全弹性碰撞,如图:
根据对Σ系由动量守恒:(m+m0)ux=mv
对Σ’系由动量守恒:
(m+m0)ux’= - mv,速度变换式:
解这几个方程就得到:m= ץ m0 ,竟然速度v增加(ץ增加)质量m也要增加。
(2)相对论质能关系
讨论:单个粒子在外力F作用下移动一段路程使得动能从0→EK。
根据动能定理:A=ΔEK
牛顿定律:![]()
质速关系:m= m0
推导:Ek=Ek-0=ΔEK=
由
→ m2c2-p2= m02c2→ pdp= mc2dm代入上式得:
EK=![]()
显然,粒子的总能量为:E=mc2
粒子的静止能量为:E0=m0c2
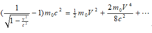
粒子的动能为:EK=mc2 – m0c2=
可见粒子的动能不等于经典的形式,但当V<<c时,EK≈mV2/2
(3)相对论力学方程
在经典物理中牛顿定律常把它写成
,现代物理证明这只在低速情况下近似成立,普遍的形式是
。实际上这是力的定义式。力是物体整体运动状态变化的原因,用P来表示状态参量要比用V周全,因为V仅仅表示了物体相对运动因素,而P=mv表示了物体整体作相对运动时运动的完整数量。